SATO Wataru Laboratory
アンドロイドの動的表情に対する自発的表情模倣に関する多変量タイミング分析およびグレンジャー因果性分析
(Hsu, Kelbakh, Yang, Minato, & Sato: Sensors)
アンドロイドの表情に対する自発的な表情模倣が生じるという証拠は存在するものの,この効果のタイミングや時間的先行性(グレンジャー因果関係)については依然として不明である.
我々は,アンドロイド「ニコラ」の不快および快の動的表情およびそれを観察する参加者の表情の,同時録画されたビデオを顔面動作コーディングシステムを用いて分析した.


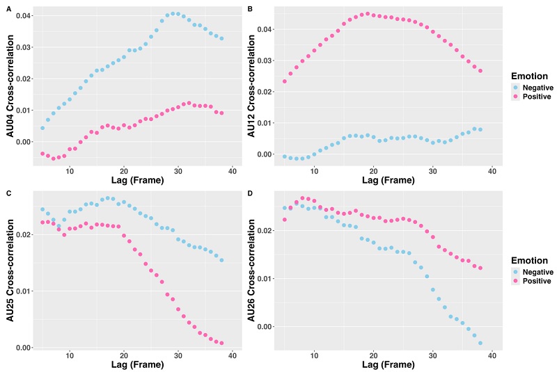
ニコラの表情に対する主成分分析の結果,アクションユニット(AU)04(眉を下げる)および12(口角を引き上げる)に加え,AU 25(唇を開く)および26(顎を下げる)がニコラの表情に有意に寄与していることが示された.
相互相関分析により,400ミリ秒以降,AU04による不快な表情の模倣と AU12による快な表情の模倣が明らかになった.
AU25および26による模倣は,200ミリ秒頃から始まり,より早く発生した.
多階層ベクトル自己回帰モデルは,アンドロイドと参加者のAUを組み込み,グレンジャー因果関係の時間的変化を初めて定量化した.
アンドロイドと人間のAU04,12,25,26のペア効果に加え,異なるアンドロイド・人間のAUの組み合わせ間でも有意なグレンジャー因果関係が認められた.
例えば,不快条件ではアンドロイドのAU04から被験者のAU25へ,快条件ではアンドロイドのAU25から被験者のAU12への因果関係が確認された.


これらの結果は,ニコラの表情に対する自発的な表情反応が,運動の模倣だけでなく高次レベルの目標模倣や運動計画にも関与していることを示唆しており,アンドロイドの表情の社会的機能の信頼性を裏付ける.
現実場面における行動マッチングを研究するうえで,相互相関およびグレンジャー因果性分析の有用性も示唆される.
最近の研究にもどる
メインにもどる